En el caso que la demanda aleatoria tenga un consumo uniforme
y no instantáneo, como en la sección anterior, se tienen las siguientes
gráficas:
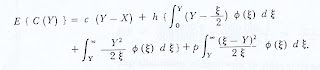
El costo total esperado, suponiendo que tenga una distribución
continua, que Y es la variable de decisión que denota la cantidad que
se tiene después de ordenar o producir dado que se tiene X unidades
en inventario, es 
Obteniendo la primera derivada e igualando a cero resulta 
La política óptima es igual a las anteriores, es decir, si X es menor a Y* se ordenan o producen - X, mientras que si X > y , no
se ordena o produce nada. La diferencia estriba en la manera como se
calcula Y*.



 
No hay comentarios.:
Publicar un comentario